2.

AERODYNAMICS OF AIRFOILS

2.3 . . . . . . . . . . . . . .
2.3 . . . . . . . . . . . . . .
2.4 . . . . . . . . . . . . . .
2.5 . . . . . . . . . . . . . .
2.6 . . . . . . . . . . . . . .
2.7 . . . . . . . . . . . . . .
5.15 . . . . . . . . . . . . . .
2.8 . . . . . . . . . . . . . .
2.9 - 2.10 . . . . . . . . .
X . . . . . . . . . . . . . . .
2.2
author:
ŠKORPÍK, Jiří (LinkedIn.com/in/jiri-skorpik)
issue date:           
June 2022; September 2025
title:
Aerodynamics of airfoils
proceedings:
provenance:
Brno (Czech Republic)
email:
skorpik.jiri@email.cz

Copyright©Jiří Škorpík, 2022-2025
All rights reserved.

KeywordsAERODYNAMICS OF AIRFOILS
2.3

What is aerodynamics and what is it used for?

Aerodynamics investigates the force effects of flow on the wrapping body or the channel in which it is located. Profile aerodynamics is a special area of aerodynamics that investigates the 2D wrapping of bodies that have variable dimensions in only two directions - this is a wing, see Figure 1. The airfoil is a cut through the wing. A description of the geometry of airfoils and rules for drawing them is given in the article Shapes of blades and flow parts of turbomachines [Škorpík, 2025].

Airfoil
1: Airfoil
P-plane of cut; Ψ-streamline in investigated plane; A-representation of investigated airfoil. l [m] length of wing; x, y, z [m] coordinates.

Incompressible fluid

Speed of sound

Mach number

At low speeds, the gas behaves similarly to a liquid, which is incompressible, but as the speed increases, the effect of the low speed of sound in gases, which are much higher in liquids, begins to take effect. The speed of sound is in fact the speed of propagation of pressure disturbances in a fluid. In addition, at supersonic flow speeds, phenomena related to abrupt changes in gas state variables that do not exist at lower speeds may occur. However, gas compressibility has a significant effect on the flow only from about Mach 0,3 [Kadrnožka, 1991, p. 27]. For this reason, the theory of incompressible flow is described in this article and the theory of compressible flow is discussed in the article Mach number and high velocity flow effects.

Airfoil drag

The fluid flow in the vicinity of a body acts on the body by the frictional force in the boundary layer and the pressure force from changes in the dynamic pressure in the vicinity of the body. The resulting force in the direction of the attack velocity (the direction of the free stream in front of the body) is called drag.

Frictional resistance

Dynamic drag (Shape drag)

The contribution to the drag from frictional forces is called frictional resistance, and from pressure forces dynamic drag (Shape drag). The resulting airfoil drag is the sum of these two forces, see Equation 2a.

KeywordsAERODYNAMICS OF AIRFOILS
2.4

Base airfoil

Attack velocity

Figure 2b shows an example of the drag formation when wrapping around the base airfoil (symmetrical airfoil). In this case, all forces in the y-axis direction have zero resultant, while in the x-axis direction, drag is generated. Dynamic drag in this direction is caused by a higher pressure on the leading side of the airfoil than on the trailing side.

Principle of formation of forces on wrapping airfoil
2: Principle of formation of forces on wrapping airfoil
(a) equation of force acting on airfoil from fluid flow; (b) example of forces acting on base airfoil from fluid flow. V [m·s-1] attack velocity (velocity in front of airfoil); p [Pa] static pressure at airfoil; S [m2] surface area of wing; F [N] force (index p from pressure, index F from friction); D=Fx [N] drag; x [m] coordinates in flow direction.

Airfoil lift

Angle of attack

Base airfoil

If the attack velocity deviates from the axis of the base airfoil (the airfoil is embedded in the flow at an inclination) or the airfoil is unsymmetrical, then the force on the airfoil F can have two components, see Figure 3. The component in the direction of the attack velocity is called drag D and the component perpendicular to the flow direction is called lift L.

Definition of lift
3: Definition of lift
CL-camber line (profile axis). ε [°] glide angle; c [m] chord; i [°] angle of attack; L=Fy [N] lift.

Drag

Lift and drag are a function of airfoil shape, angle of attack and Reynolds number.

Glide angle

The angle between the lift and drag of the airfoil is called the glide angle ε. The name glide angle comes from the gliding flight of an aeroplane (steady unpowered flight), where the force F acts against the direction of gravitational acceleration and ε denotes the slope of the lift relative to the gravitational acceleration, see Figure 4.

KeywordsAERODYNAMICS OF AIRFOILS
2.5
Principle of gliding flight
4: Principle of gliding flight
U [m·s-1] airplane velocity; m [kg] airplane mass; g [m·s-2] grav. acceleration.

If a lift L is generated, means that the pressure difference between two points in the airfoil that are perpendicular to each other in the direction of the attack velocity is different from zero, i.e. the lift depends on the pressure flow along the airfoil.

Pressure distribution along airfoil

Pressure surface

Suction surface

Lift

Figure 5 shows the pressure distribution along the airfoil at which lift is generated. Therefore, we distinguish between the pressure surface and the suction surface of the airfoil. The suction surface of the airfoil has on average lower pressure and higher velocity because the flow on this surface has longer trajectories along the airfoil than on the pressure surface.

Change in pressure along airfoil
5: Change in pressure along airfoil
Near the airfoil, the highest pressure occurs at the leading edge, where the wall is nearly perpendicular to the flow, causing a drop in dynamic pressure and a rise in static pressure. (a) pressure distribution on suction surface; (b) pressure distribution on pressure surface.

Pressure coefficient

The pressure coefficient CP describes how the static pressure in vicinity of the airfoil changes at the expense of the dynamic pressure in front of the airfoil (Formula 6). The pressure coefficient of the profile can reach a maximum value of 1 (all dynamic pressure is transformed to static pressure pmax=p + 0,5·ρ·V2) and if it is negative, it means that the pressure at the investigated point has decreased below the pressure in front of the profile p, respectively the fluid velocity is greater than the attack velocity (Figure 6).

KeywordsAERODYNAMICS OF AIRFOILS
2.6
Pressure coefficient
6: Pressure coefficient
(a) pressure coefficient on suction surface; (b) pressure coefficient on pressure surface. CP [1] pressure coefficient [Nožička, 1967, p. 27]; ρ [kg·m-3] density; V [m·s-1] velocity at investigated point in vicinity of airfoil; p [Pa] pressure in front of airfoil.

Xfoil

The pressure change in the vicinity of the airfoil is measured by way of holes in both the suction and pressure surfaces. The specific values of the pressure coefficient from the measurements are given in e.g. [Kousal, 1980, p. 142]. However, there are also very accurate numerical airfoil models that can replace the measurements, for example the Xfoil software.

Velocity in vicinity of airfoil

The pressure coefficient can also be used to calculate the velocity V in vicinity of the airfoil (Figure 7) using Formula 6.

Change in velocity along airfoil
7: Change in velocity along airfoil
(a) situation on suction surface; (b) situation on pressure surface.

Calculation of forces acting on airfoil from fluid flow

Lift

Lift coefficient

Drag

Drag coefficient

Drag polar

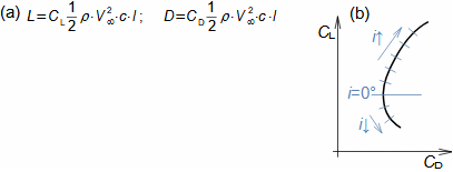
The calculation of lift using the pressure coefficient CP along the airfoil is complicated and does not include the effect of friction (see Appendix 2), therefore in engineering practice the lift is calculated using the so-called lift coefficient CL, which can be determined from the pressure coefficient. The lift coefficient is defined so that the lift is the product of the dynamic pressure in front of the airfoil and the lift coefficient, see Formula 8a. Similarly, drag is calculated as a function of the so-called drag coefficient. The values of both coefficients change as the angle of attack and the Reynolds number change with drag and pressure coefficient and can be measured directly, with the measured data tabulated or presented graphically in the form of a so-called drag polar, see Figure 8b.

KeywordsAERODYNAMICS OF AIRFOILS
2.7
Lift and drag airfoil equations
8: Lift and drag airfoil equations
(a) relations for calculation of drag and lift of wing; (b) chart of dependence of CL on CD and i for Re=const., so called drag polar. CD [1] drag coefficient; CL [1] lift coefficient; Re [1] Reynolds number. The derivation of the formulas for the drag and lift airfoil is shown in Appendix 2.

Aerodynamics data

Catalogues of measured aerodynamic data for various airfoil shapes are widely available, starting with [Abbott and Doenhoff, 1959], [Hošek, 1949, p. 390], [Kneubuehl, 2004, p. 76]. There are also non-public, private company catalogues. For airfoils, other aerodynamic quantities are also measured at the same time (e.g., airfoil moment [Hošek, 1949, p. 278], [Abbott and Doenhoff, 1959, p. 4], which is important for the design of the airplane's center of gravity position and for the torsional strength calculation of wings, etc.).

Signs of internal friction in boundary layer airfoil

The friction of the fluid on the airfoil surfaces also creates a so-called boundary layer in which the pressure and kinetic energy of the fluid is lost. This energy dissipation causes the flow to deviate from the profile by a deviation angle and can also cause the flow separation from the airfoil.

Deviation angle

The fluid momentum between the pressure and suction surfaces of the airfoil at the trailing edge may differ because the internal friction of the fluid in the boundary layer is a function of velocity, which may be different between these surfaces. This means that the flow direction behind the airfoil may not have the direction determined by the shape of the airfoil, respectively the direction of the camber line of airfoil CL, because the direction of flow with the higher momentum will prevail. The deviation of this direction from CL is called the deviation angle, Figure 9.

Deviation angle
9: Deviation angle
δ [°] Deviation angle.
KeywordsAERODYNAMICS OF AIRFOILS
2.8

Flow separation

Angle of attack

Camber

In the vicinity of the trailing edges, where the boundary layer flow has the lowest energy, the flow may be flow separation from the airfoil - boundary layer collapse due to penetration of the surrounding fluid into the boundary layer, see Figure 10. The flow separation causes a change in the forces acting on the airfoil and the required lift may be lost. The probability of flow separation increases with the angle of attack and the camber of the airfoil, but partial separation will almost always occur. Flow separation is usually a discontinuous process (non-stationary) - after separation, the boundary layer may stabilize again (reducing the pressure at the trailing edge) and soon detach again.

Flow in area of trailing edge of airfoil at flow separation
10: Flow in area of trailing edge of airfoil at flow separation

Problems

Problem 1:
Calculate the lift, drag and glide angle of the model airplane during gliding flight. In the experiment, the model flew a distance of 5,6 m when launched from a height of 2,9 m. The model weighs 42 g. The solution to the problem is shown in Appendix 1.
Calculation of aerodynamic variables of airplane model during gliding flight
Dimensions are in metres.

References

ŠKORPÍK, Jiří, 2025, Shapes of blades and flow parts of turbomachines , turbomachinery.education/, Brno, https://turbomachinery.education/shapes-of-blades-and-flow-parts-of-turbomachines.html.
ABBOTT, Ira, DOENHOFF, Albert, 1959, Theory of wing sections, including a summary of airfoil data, Dover publications, inc., New York, ISBN-10:0-486-60586-8.
HOŠEK, Josef, 1949, Aerodynamika vysokých rychlostí, Naše vojsko, Praha.
KADRNOŽKA, Jaroslav, 1991, Teorie lopatkových strojů, Vysoké učení technické, Brno, ISBN 80-214-0275-X.
KNEUBUEHL, Beat, 2004, Balistika střely, přesnost střelby, účinek, Naše vojsko, Praha, ISBN 80-206-0749-8.
KOUSAL, Milan, 1980, Spalovací turbíny, Nakladatelství technické literatury n. p., Praha.
NOŽIČKA, Jiří, 1967, Analogové metody v proudění, Academia, Praha.
©Jiří Škorpík, LICENCE

Additional media content